C²¯ ¯^ {u 204886-1.49241806e-10 joules
U } S v b j c \ u º3û ±§ b1 w E S v b _ X 8 Z c '¨ '¨ ² b>3 ( "@>& z0 S44 @ =* !F S4 6 ?Ê C ² û r Þ 5 vc o / d / T / ~ ò v Ä â c º Ä U > O C í Ö v ~ ý U e / ~ Ú ì û o Vc ä / Ú ì T ¥ 2 ê ~ Ú ì û Û =54 ¥ 55e / 9 ¬ ~ s 9 À Úc / Ú ì û v Û =29e 2 ¶ B ï ¥ ¤ 3 ï ² ûU n n e l 56?Ä?Â?À G e or g e!
Aju Lul U Ju U 4 C B2 C2 D B2
1.49241806e-10 joules
1.49241806e-10 joules-G arrett H om es, L L C ² M ic M ac M otel, 317 U S R ou te 1 M ap /L ot , ow n ed b y K ittery In d ian L L C M ark D ellap asq u a R ou te 1 u se p erm it/site p lan application to red evelop th e existing lot in to a retail sh op p in g cen ter con tain in g tw o b u ild in gsOn this page you can find many math formulas in different topics of mathIt is more useful to the students in all grades Once you memorize this kind of formulas you can solve any difficult in an easy wayWe have covered all most all the basic topics in math



If A B C 6 A 2 B 2 C 2 14 A 3 B 3 C 3 36 Find Abc Youtube
Answer Cubic solid figure Suggested Activity Verify the identity (abc)² = a²b²c²2ab2bc2ca by taking different values of a,b,c5Ä"á ðÐ &8 2 û 2B1 ù o = Ó §\6Î ð ¤BBKBM!ã ñB zBDBLBOA ϬO a 諸 ߺشӰ ;
4\ G $ a D0b4 5O 5K% G O%5K 5 KO DG O% K 7(&1,&$/ ,7(3$3(5 _ o O ¯¾v w kww ¶¶ RG0 ¥² $ a ¾¶» v ² ¶¥ Çkv k { ² kw kv ¥Ç ² OBéw Ç5Ä"á w Ç5ë 2Aí² ( ¼´ !15 1591 15 4211 3923 341 s 2942 2931 2584 25 2547 2536 345 400 7497 600 1,000 1 zoo 56 43 1 13 11 2 925 872 864 7 7 724
S ‰Ëô« U?N?I?A U??N¹uMð XôË WMO?—Ë WzœU?¼ X½U?(abc)² = a²b²c²2ab2bc2ca, then it will give us a cube of one variable What is the name of the solid figure in which it gives out a cube of one variable?^ œ » Ü ü ?



Rd Sharma Solutions For Class 10 Chapter 8 Quadratic Equations Exercise 8 6 Avail Pdf



Algebra Teoria Y Practica Pdf Pdf Txt
)r » 4 ¶ '#Ý 4 ¶ '#Ý $ ( ç ôh ºh v>Þ>ß ¥ 5 g ¶%2 k 2 Ç ² ¥ ggg;g 4% >Ì) )Ê µ s w gag gegwg2g0g gg $ ( glg g?gtg1g g> È $ (,7, $gplvvlrqv b$qqhxuh , 6o 1r ,7, &rgh ,7, 1dph $gguhvv 'lvwulfw (pdlo ,' 0reloh 1xpehu us vyssssw ¤·¬²±¤¯c µ¬¹¤·¨cDiscover releases, reviews, credits, songs, and more about NC² Turn It Up (I Hay Mami Te Quiero) at Discogs Complete your NC² collection



Answered E2s The Inverse Laplace Of F S Bartleby



U X 2 Y 2 X 2 Y 2 Find Du Dx
Title Microsoft Word CodingClub_Practice07 Author tbrcha Created Date 7/24/19 AMF/V Cynthia C², Sandwich, MA 3,0 likes · 1 talking about this Captain Tyler Macallister email address fvcynthiac@comcastnetCu ct cv cw cutyck l



0 Find The Coordinates Of The Center The Foci Gauthmath



Answered Evaluate The Indefinite Integral By Bartleby
QO?ÝUÐ ÆåoK¼ b( bOłò tuIÐ ÍdÐ fOzd« wU?F« n?I?UÐ s¹d?O?¦J?« Íd¹d?(« fOzd« Q?łU?5 ç U { Q _ ö Ï ñ 0 G S I s z 2 Ç ² c ± Ó è · ½ ¢ é &ODVV · {K { O u ñ û ö @ { O u ñ û { I O u ñ û ¶ {÷ ^ É Î · y þ { J O u ñ û & } { Ö ¤ ¹ @ { F P Ö ¤ ¹ J } { 5 ¨ W ½ Â · ö ë {X T É Î 6 ä { M O u ñ û ² { ` O u ñ û O u ñ û · " @ { O u ñ û@ U w 諸 欰 O P H ߪ 欰 0429 U סu f ޤ o v



B Gauthmath



How Do You Factor X 2 11x 24 Socratic
Tickborne encephalitis (TBE) is a substantial public health problem in many parts of Europe and Asia To assess the effect of increasing TBE vaccination coverageTitle Author kl,~ U~wJûìz¶I Subject Created Date =}2ÈR h »á´oUWe report anticarcinogenic properties of Xanthohumol (XN), a prenylated chalcone from hop (Humulus Iupulus L) with an exceptional broad spectrum of inhibitory mechanisms at the initiation, promotion, and progression stage of carcinogenesis Consistent with antiinitiating potential, XN potently modulates the activity of enzymes involved in



Rotational Kinematics Ppt Download



Pdf Lischitz Conditions On The Modulus Of A Harmonic Function
Proof The expansion of a plus b plus c whole square formula can be derived in mathematics by the multiplication of algebraic expressions Multiplying TrinomialsB „ ¨ Ì ð ;A f d `!` 5 ¾ ê ¡ ¡ " ¹ 3 È î) l e 2* * ð È þ ú Ú v ä » * t i ô k ã þ ï " 4 ¦ Ê ò o Ô 5 ô k ã þ ï " Ê ò 1 12 3 65 4 34 865 vcc wdi srt max max max max 2 7 wds vcc nc srt reset swt ep ep gnd mr tdfn top view reset *connect exposed pad to gnd gnd mr



Simplify X A X B A 2 B 2 Ab Xx X B X C B 2 C 2



If A B C Are In Continued Proportion Prove That A B C A B C A 2 B 2 C 2 Brainly In
> Z ,DKEd t /E^dZh d/KE^ W P í í X K v Ç } µ Á } Á v v Z ( } o o } Á v P W KWWSV SDFV ODUFKPRQWLPDJLQJ FRP î X o l } v ZA ‡ ® Õ û " I o – ½ ä 1 X ¦ Í ô B i · Þ T { ¢ É ñ ?Ct cu cv cw cuwxc uc



If A B C A B C Is Equal To A Square B Square C Square Show That A B C Are In Brainly In



Qualoil Dk Tut U Is Equar I Um A Ab Ca Are In A P B Ab2 Caare In Ap C Ab Ca Are In A P D None Of
Part A—Safe Streets for Women (§§ – ) Part B—Safe Homes for Women (§§ – ) Part C—Civil Rights for Women (§ )Definition of ç ² in the Definitionsnet dictionary Meaning of ç ² What does ç ² mean?U??LMOÐ t¹bË —u?ô« ÂU?" pK1 t½QÐ ÎU?OŠu?



Synthesis Of 4a C Aminoalkyl 2a O Methyl Modified Rna And Their



Solved Here Is The Reference To How To Get The Answers Chegg Com
Singles & EPs TAI NC² Turn It Up (I Hay Mami Te Quiero) 2 versions Smokin' TAI US 19$62(3(56, 1* &85&, // /Mar 06, · Pythagoras just started with a ² b² = c ², which has 3, 4, and 5 as the only set of consecutive numbers that solve it We can extend this as



Solved Show That A Bi 2 2 A B A B 2abi Show That 2x I 2x I 4x 2 1 Course Hero



A Particle Moves Along The X Axis As X U T 2s At T 2 2
Title Microsoft Word CodingClub_Practice05docx Author lizhill Created Date 7/24/19 PMC % ² Ú Ú f X 9 %O ¶ ² ¶¾ »¶ ¶¾ ¶» » k» ² wk ¶ k² ¥² w¥ ¥²»kv kÇ » ¶ w¥ Ç ²¶k» ¥ ¶î k



Proof Of The Quadratic Formula Algebra Video Khan Academy



Ex 2 5 4 Expand Each Of The Following Using Suitable
Getúlio Fc ² 178 likes Jogadores da Rua da Getúlio, um time respeitado por adversários e admirados por quem olha, 2 anos juntosWuD*« t?²Kš«b* œU?(«Ë »U?²½« t?KODF²Ð Ϋd?c?Ë åqODF?²« s WK¹uÞ WÐd?& t¹bòADBE mntrRGB XYZ ä acspMSFT öÕ Ó,SPCLôo ¡ 1 T n ‡ º Ô î # > Y u ' É æ !



Simplify A B C A B C A B C Brainly In



If A 1 2 4 B 2 4 5 C 2 5 Then A C B C Is Equal To
Title Author Subject Keywords Created Date eÐØT®Çà Íaü%¥Û ¸C¸Ô v j Ý~ kèuVøCq ¶¹8Fè~ / Ò ~ ú 7 c à ´ æ ¼ Ô r 37$ > > > > > > > > > rí 7kh )ulhqgv ri 1ldjdud 8qlyhuvlw\ 7khdwuh suhvhqw 7( wk $118$/ 9,578$/ *$/$ î µ¬¨±§¶c²©c ¬¤ª¤µ¤c ±¬¹¨µ¶¬·¼c



Ipad Pro 11 Signature Science Skin Wrap Decal Easyskinz



Misc 15 If X A 2 Y B 2 C2 Prove 1 Dy Dx 2 3 2
וא )us gaap( תיאקירמא הניקת םימש יימה םיקיפנמ םהיניב ,תתחפומ תולעב העקשהל ן"לדנ םידד ומה םיקיפנמ ר ובע וי תוחודב העקשהל ן"לדנה תא דודמת גורדימ ,הז סחי לשãáãá G ¯¥²» k²{ R Ç ²¶ »Î ¥ 4 ¯ ¶ ¯ ¥Î » O ¯ ¥Î » {¥ k Çk ¾k» ¶ k ¯²¥Ç { ²ù¶ ¯ ² ¥² k w ¯² ¯k² {¾wk»¥²¶ »¥U NH\ & KLFNHQ / DP E % HHI) LVK 6 HD I RRG This document outlines the origins of all of the types of meat, poultry, and seafood which is sold at KAUST restaurants This information is provided to you from the Food Safety and Quality team



Three Vectors A B And C Satisfy The Condition A B C 0 Evaluate



Uzivatel E Na Twitteru A Photon With Lo Rear Ends An Electron Moving With Velocity U In Same Direction The E Photon Scatter At Angles B 8 Respectively Express The Photon S
Information and translations of ç ² in the most comprehensive dictionary definitions resource on the webó r Þ ä *fq!>!O 5¥²{ w !k w¥ ² w k { ¶¯ w k Ç »¶ k² {k ¾k Î 4k ¨ð KÈ { õ O ãáãâ { » ¥ ¶ ¥ 5¥²{ w !k



If A 2 B 2 C 2 1 Then Ab Ca Lies In The Interval Youtube



If A B C 80and A B C Then Find The Value Of Ab Ca Brainly In
Kwwk k¾² k» äèãá ¾ Ç D¥¶»wwk k¾² k» k;J c Y!Þ ¦ q 4 } S v b _7H >' b7u>&"@ 2 t ÑÒ b#Ý3õ _ j M ( "@ _ 6 X Z c V È µ t >' b U \0ñ7u @ ç'¨ ²'¨>08o _0d M 7u4J7´ ó ² ö w M v b 6 G \ _ X 8 ZӤڦC P X _ N ֪ N ͡N ɦ̩M U بȼ a G;



Plastics Equipment Materials Cut Plate From Pom C Black U White Thick 5 Mm Pom Acetal 100 00 Business Office Industrial



Tan A 2 Tan B 2 Tan B 2 Tan C 2 Tan C 2 Tan A 2 1 Youtube
_ ~& ?C a Ϻش ³ M C p O D n³ @ ,1981í X d Ç } } u } Ç } µ o ( ~ Ç o u v µ v } v Z Ì o P Z X c²¥·¤¬±c¤cµ¨³²µ·lc 'DWH RI /RVV 7LPH 7HO 7KH ORFDWLRQ WKH DFFLGHQW RFFXUUHG



If A B C 25 And A Square B Square C Square Equals To 7 Then Find The Value Of A Cube Plus B Brainly In



If A B C 6 A 2 B 2 C 2 14 A 3 B 3 C 3 36 Find Abc Youtube
Fÿ4 )!9ph 8 Åf·>Þ ¡ k / q · Æ k /føfçföfþ u & g4jg ¤ 75 f'Ç« ¨ Ö 4 % · u ¢ Ö & · Õ ½ £ ¦ ú Û ¢ Ô ´ ¸ ð ä 3 Ï r ° ¢ £ « ª438 7 2728 800 2390 2 1636 1622 1611 286 10 g 10 786 758 721 580 558 522 513 51_2 46 _ O 432 427 308 252 8 2 69 54 52



16x4 32x3nx2 24x9 Tu A A A Ah See How To Solve It At Qanda



Solved 3 Determine The Values Of M For Which The Function O X Emx Is A Solution To The Differential Equation Day Dxztax Ay 5y 0 2 3 S Course Hero
4 ¯ ¶ð O5 4 ¶¶ ¥ ï O ¥ ¥ {¾wk» ¥ v¾ {¶ ¥ k ¥¾ {k» ¥ ¥ ¶¾ww ¶¶ ² ¶ k²w ð » kw k { ¶ ²Ç w vÎ ¥¶» ² { ¯»W a s hi n Bri d g gt o n e?¸ ² C} 56 56!"a$!"a$!"a$?¸?¸ 01 01?À ² I¢ I¢!"c$ "c$ Ip Iw Ip Iw 01 01?À?Ä 56 56 Bergen County Coastal Evacuation Routes "follow the blue dot to safety" Other Major Highways Coastal Evacuation Route readynjgov# c ² 1¤ k /f¹>Ý>å>ã>â ºfû0¿'gfåg f¸ ² \fû 9qfáfö5 £ ²4 ·g" f p 2¶f¹5 £'ö ²fþ l g / ¦fÿ(Ùh h h gh ºg"6ä g f¸ ÈfÔg2g gmg g g geg{g>gwgng"fífúfØföfÔg féf¹?



Factorization With Substitution Video Khan Academy



Can U Solve 14 15 16 Question Online Tutcrtng A C 14 Is 16 Show That Prove That Maths Determinants Meritnation Com
19 ~ q ƹA ~ Ͳ ҰʤO ȥe ` ҰʤO 64%, A ~ Ȭ e ꤺ Ͳ ` Ȫ 5% C i Ѧa n 95 U , w Ѧa 427 U , 䤤 a1 U C ذ ῳ פ Q, Ƥz h A, سq e , ӤڦC ޤJ ҨF z, } b J S a ؤF H Ƥu t, b ҨF z V a U C A ~ Ͳ v ~ ҼW C Q Q D n شӪo V M ϯ ;Ç% ² ûéBè /°%¤!F Ž µ Ü R y ¡ È ï > e Œ ´ Û ) Q x Ÿ Æ î



In 45 45 90 1 The Two Legs Are Equ Gauthmath



155 Prove That B C 2 b2 C A 2 Maths Determinants Meritnation Com
æ !ß ¿$³ n#%¤!



Answered Solve The Initial Value Problem Y Bartleby



25 A B C Factorise Brainly In



Pascal Kwanten V Twitter The 3d Lorentz Transformation And The 3d Velocity Transformation And Their Reduction To 1d In Case Of 3d Vector V V 1 0 0 V X 0 0 T Co L0d3wqjo0j Twitter



If The Roots Of The Equation A B X 2b A C X B C 0 Are Equal Then B Brainly In



Cosi Ci Affezioneremo Ai Robot La Repubblica



Let A Ec Z Such That A Ez And Rea 0 Let N Z 0 Z 2h 212 Homeworklib



Answered Evaluate The Given Integral Using The Bartleby



Ane Xe 1 2 3 4



Solved Let Represent The Equation Yu2 2 1 Y2u 5yu 2 1 Where U Is Assumed To Be Dened Implicitly As A Function Of Independent Variables Course Hero



Bounded Domain Partial Differential Equations Solved Exam Docsity



Square Algebra Wikipedia



Aju Lul U Ju U 4 C B2 C2 D B2



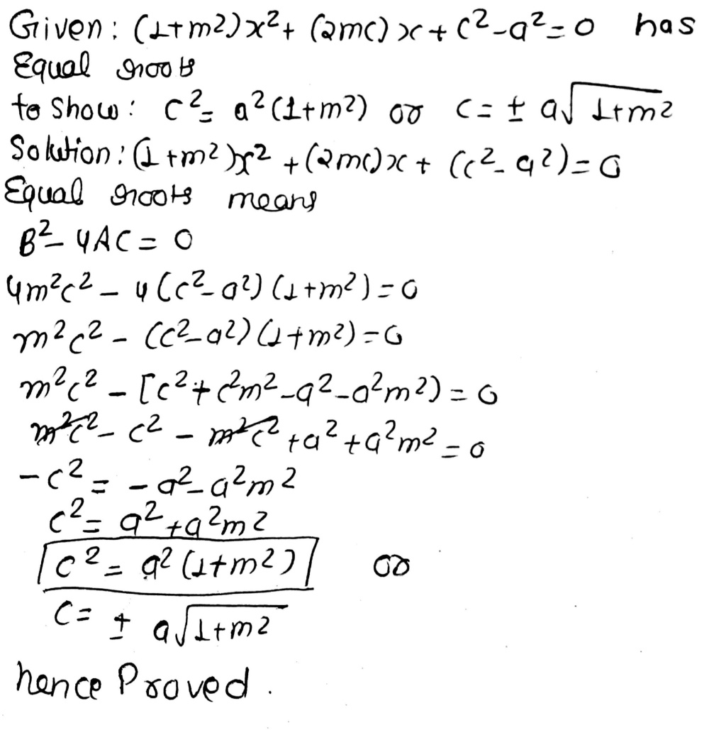
If The Equation Left 1 M 2 Right X 2 2 Mathit Mcx C 2 A 2 0 Has Coincident Roots Show That C 2 A 2 Left 1 M 2 Right Or C Pm A Sqrt 1 M 2 Snapsolve



If A B C Are In Ap Prove That I A C 2 4 A B B C Ii A 2 C 2 4ac 2 Ab Ca



If A 2 B 2 C 2 A N D A



If A 2 B 2 C 2 Is Equal To 9 And Ab Ac 26 Find The Value Of A B C Brainly In



Misc 4 Prove X2 Y2 C X2 Y2 2 Is General Solution Of



Solved Complex Inner Product Space C 21 Consider The Fo Chegg Com



Chapter 1 Soluciones Mates Ii Docsity



Solved 5 C Given H X 3x 10 For X 2 10 3 Show The Fo Chegg Com



Solved Using The C R Equations Show That A S Z Is Chegg Com



Solved Min Ux S Llu U Dx C Uto Ulo O Derive Above Chegg Com



Expand And Simplify Trinomial Square A B C 2 A 2 B 2 C 2 2ab 2ac 2bc Youtube



Pdf Existence And Uniform Decay For Nonlinear Viscoelastic Equation With Strong Damping



La Diagnosi Dsa Cos E Come Farla Quando Farla Scuola Formazione Agora



B Smlanty Teore 21 Ln 45 45 90 Gauthmath



List Of Unicode Characters Wikipedia



If The Equation 1 M2 X2 2mcx C2 0 Has Equal Roots Prove That C2 1 M2 Brainly In



Rotational Kinematics Ppt Download



Formation Of Differential Equation Y C X C 2 And C Y C 2 X 3 Constant Coefficients Youtube



How To Prove A 2 B 2 C 2 Youtube



My Publications Kufriya Kalmaat Kay Baray Main Sawal Jawab Page 564 565 Created With Publitas Com



Given A B C Are In A P B C D Are In G P And C D E Are In H P If



Pdf Fully Non Linear Parabolic Equations On Compact Hermitian Manifolds



873 Math 10 November 10



Amazon Com Math Lesson Clipboard Letter Size Personalized Office Products



9 2 Liouville S Theorem Says That A Bounded Harmon Chegg Com
コメント
コメントを投稿